Zum Inhalt springen
  • Unternehmen
3. November 2021

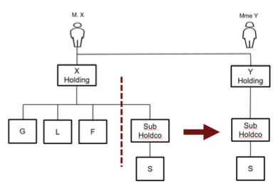
Impôts directs: Fusion, scission et transfert intra-groupe

Cas pratiques présentés par Jean-Marie Hainaut et Jean Ebener lors du séminaire ISIS) du 03 novembre 2021 intitulé "Restructurations / Fusions / Acquisitions".

Hinweis: Diese Sprachversion ist eine automatisch generierte Übersetzung. Der Text kann daher sprachliche und terminologische Fehler enthalten.

zur Originalsprache (Französisch)